indentitas trigonometeri
Perbandingan Trigonometri pada Segitiga Siku-Siku

Berdasarkan letak sudutnya, sisi-sisi pada segitiga siku-siku terbagi menjadi 3, yaitu sisi depan sudut, sisi samping sudut, dan sisi miring (hipotenusa). Sisi miring sudut berada di depan sudut siku-siku pada segitiga. Definisi perbandingan trigonometri pada segitiga siku-siku sebagai berikut:

Berdasarkan definisi di atas, diperoleh hasil penjabarannya, yaitu

Nilai Perbandingan Trigonometri untuk Sudut-Sudut Istimewa
Sudut-sudut istimewa dalam trigonometri adalah sudut , dst. Nah, pada sudut-sudut istimewa tersebut, kita dapat menentukan nilai perbandingan trigonometrinya dengan mudah. Coba Sobat perhatikan tabel perbandingan sudut-sudut istimewa berikut.

Menentukan Nilai Perbandingan Sudut dan Relasi Trigonometri
Untuk menentukan nilai perbandingan trigonometri suatu sudut, Sobat Pintar masih dapat memanfaat nilai perbandingan sudut istimewa. Langsung saja yuk, kita bahas cara menentukan nilai perbandingan trigonometri suatu sudut.
Perbandingan trigonometri sudut berelasi adalah perluasan dari nilai trigonometri dasar yang ditentukan dari sudut segitiga siku-siku. Besar sudut segitiga siku-siku hanya terletak pada kuadran I karena termasuk sudut lancip yang ukurannya . Sudut pusat lingkaran memiliki besar antara
. Sudut tersebut dibagi menjadi empat kuadran, masing-masing kuadran memiliki rentang sebesar
.
Dalam menentukan nilai trigonometrinya, perhatikan letak dari sudut tersebut berada pada kuadran berapa. Pada kuadran I, semua jenis trigonometri bernilai positif. Pada kuadran II, sin bernilai positif. Pada kuadran III, tan bernilai positif, serta pada kuadran IV cos bernilai positif. Selain trigonometri yang bernilai positif, maka yang lainnya bernilai negatif. Perhatikan koordinat cartesius berikut ini!

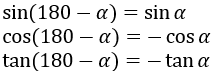
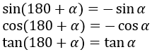
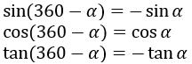
Dalam trigonometri, relasi sudut-sudut dapat dinyatakan dalam bentuk berikut:
1. Pada kuadran I

2. Pada kuadran II

3. Pada kuadran III

4. Pada kuadran IV

Identitas Trigonometri
Identitas trigonometri menyatakan hubungan dari suatu fungsi trigonometri dengan fungsi trigonometri lainnya. Sebuah identitas trigonometri dapat ditunjukkan kebenarannya dengan tiga cara.
Cara pertama, dimulai dengan menyederhanakan ruas kiri menggunakan identitas sebelumnya sampai menjadi bentuk yang sama dengan ruas kanan. Cara kedua, mengubah dan menyederhanakan ruas kanan sampai menjadi bentuk yang sama dengan ruas kiri. Cara ketiga, mengubah baik ruas kiri maupun ruas kanan ke dalam bentuk yang sama.
Ada beberapa rumus identitas trigonometri yang perlu Sobat Pintar ketahui, diantaranya:

Rumus Trigonometri
Selain identitas trigonometri, sobat pintar juga perlu tahu rumus-rumus trigonometri yang lainnya, yaitu:


Nah, setelah mengikuti pembahasan mengenai trigonometri, Sobat Pintar dapat mengerjakan latihan soal trigonometri pada aplikasi Aku Pintar. Selain pembahasan di atas, trigonometri juga akan dibahas pada materi persamaan trigonometri, limit trigonometri, turunan trigonometri, dan integral trigonometri. Jadi, jangan lupa download aplikasi Aku Pintar di Play Store atau App Store, ya!
Writer: Sophia Maulidatul Adha
Editor: Deni Pubowati
Komentar
Posting Komentar